0 views
5.1#1
by Ann Tormoehlen
70 views
4.6AP#6
99 views
4.6AP#5ab
826 views
4.7#33
835 views
4.7#25,31
642 views
4.7#22,23
702 views
4.7#13
787 views
4.7#9,11
605 views
4.7#5,7
846 views
4.6#32
703 views
4.6#31
706 views
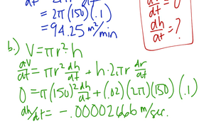
4.6#28
737 views
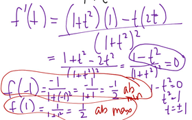
4.6#21
716 views
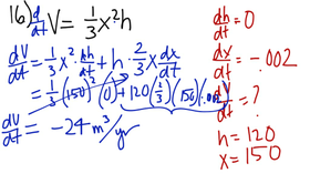
4.6#16
901 views
4.6#13
851 views
4.6#1
890 views
4.2ExtremaWS3#3
897 views
4.2extremaWS3#2
895 views
4.2extremaWS3#1
712 views
4.2#40
715 views
4.2#38
804 views
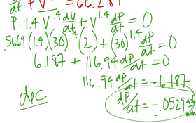
4.2#33
677 views
4.2#25
821 views
4.2#20