652 views
6.2#76
by Ann Tormoehlen
0 views
624 views
6.2#71
671 views
6.2#69
435 views
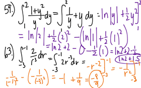
6.2#59,63
518 views
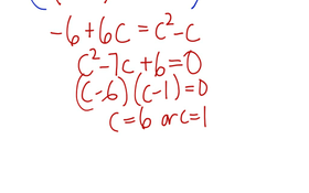
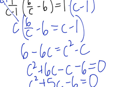
6.2#55,56
504 views
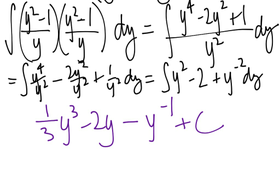
6.2#53,54
252 views
6.2#52
466 views
6.2#49-52
372 views
6.2#45-48
414 views
6.2#41-44
455 views
6.2#37-40
344 views
6.2#34-37
525 views
6.2#29-32
658 views
6.2#23-28
391 views
6.2#17-22
568 views
6.1#24
527 views
6.1#17
473 views
6.1#15
608 views
6.1#9-11
511 views
6.1#1-4
583 views
5.4#39
728 views
5.4#33
181 views
5.4#2