542 views
7.1#20
by Ann Tormoehlen
598 views
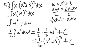
7.1#15
521 views
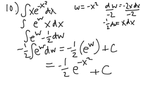
7.1#10
513 views
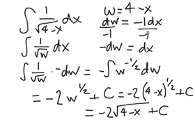
7.1 #8
691 views
7.1 #5