623 views
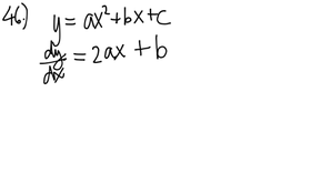
3.1#46
by Ann Tormoehlen
682 views
3.1#43
707 views
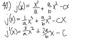
3.1#40
627 views
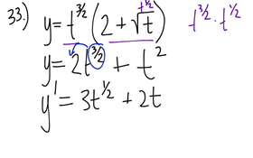
3.1#33
611 views
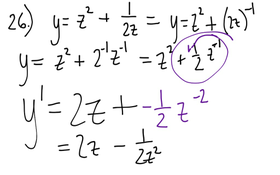
3.1#26
537 views
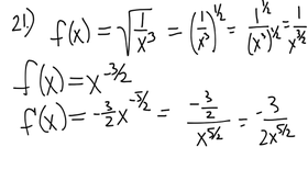
3.1#21
437 views
3.1#14
473 views
3.1#13
500 views
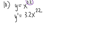
3.1#10
576 views
2.6#8
526 views
2.6#3&4
519 views
2.5#2
616 views
2.5#31
558 views
2.5#30
629 views
2.5#29
533 views
2.5#28
602 views
2.5#27
518 views
2.5#22
723 views
2.5#15
729 views
2.5#13
370 views
2.57-9
556 views
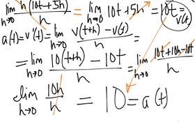
2.5#5&6
2.5#4
525 views