453 views
Final Exam Review - Problem 4
by Jorge Salas
441 views
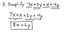
Final Exam Review - Problem 3
470 views
Final Exam Review - Problem 2
494 views
Final Exam Review - Problem 1