390 views
Final Exam Review - Problem 28
by Jorge Salas
407 views
Final Exam Review - Problem 27
424 views
Final Exam Review - Problem 26
441 views
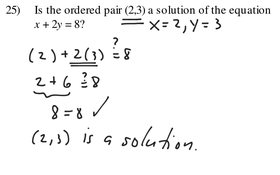
Final Exam Review - Problem 25
417 views
Final Exam Review - Problem 24
387 views
Final Exam Review - Problem 23
409 views
Final Exam Review - Problem 22
2180 views
Final Exam Review - Problem 21
397 views
Final Exam Review - Problem 20
393 views
Final Exam Review - Problem 19
Final Exam Review - Problem 18
399 views
Final Exam Review - Problem 17
415 views
Final Exam Review - Problem 16
388 views
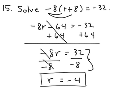
Final Exam Review - Problem 15
381 views
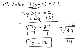
Final Exam Review - Problem 14
373 views
Final Exam Review - Problem 13
366 views
Final Exam Review - Problem 12
427 views
Final Exam Review - Problem 11
404 views
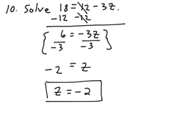
Final Exam Review - Problem 10.
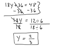
Final Exam Review - Problem 9
440 views
Final Exam Review - Problem 8
443 views
Final Exam Review - Problem 7
421 views
Final Exam Review - Problem 6
463 views
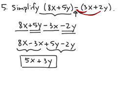
Final Exam Review - Problem 5