123 views
Difference of Squares
by Jorge Salas
205 views
Spring Final Review #17
224 views
Spring Final Review #18
302 views
Spring Final Review #21
195 views
Spring Final Review #15
238 views
Spring Final Review #13
517 views
Spring Final Review #11
142 views
Under Construction
527 views
Final Exam Review #3
126 views
10.4 Ex.2a
115 views
10.4 Ex.1c
476 views
Final Exam Review #9
188 views
Final Exam Review #7
402 views
Final Exam Review #5
116 views
Final Exam Review #1
149 views
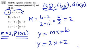
Diagnostic Test #30
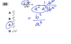
131 views
Diagnostic Test #29
136 views
Diagnostic Test #28
134 views
Diagnostic Test #27
129 views
Diagnostic Test #26
121 views
Diagnostic Test #25
Diagnostic Test #24
Diagnostic Test #22