10 views
#12
by Karly Stache
2 views
#11
8 views
#10
3 views
#9
4 views
#8
7 views
#7
6 views
#6
#3
14 views
4.7 HWK Example
1 view
Given a point find a trig function
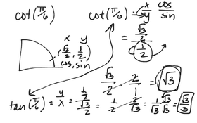
Evaluating From the Unit Circle (Secant, Cotangent)
39 views
If Tan= (-4/3) & sin>0, find cos Example Video
Graphing Trig Functions
11 views
#17
#15
#14
13 views
#13
16 views
5 views