0 views
Domain Of Functions #2
by Karly Stache
Domain Of Functions (fractions)
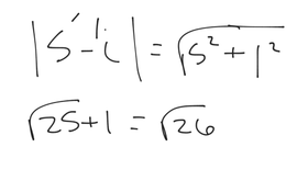
Absolute Value Of Complex #'s
7 views
8 views
Imaginary Numbers
4 views
Simplifying Radicals (2)
5 views
Square Roots In The Denominator
6 views
Simplifying Radicals
12 views
Inverse (from Review)
31 views
Domain Problems
22 views
Transformations
14 views
Even, Odd, Neither
Crap
Increasing And Decreasing Intervals
89 views
Piecewise Function
#20
28 views
#19
#18
#17
#16
#15
34 views
#14