1 view
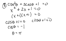
#8
by Karly Stache
5 views
#7
15 views
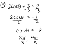
#6
3 views
#5
12 views
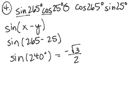
#4
9 views
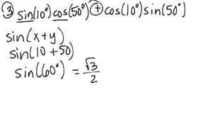
#3
#2
#1
18 views
Double Angle Help
Sum/Difference Example (Sin,Cos,Tan)
13 views
#49 From 5.5 HWK
0 views
14 views
21 views
#17 From 5.5 HWK
#25
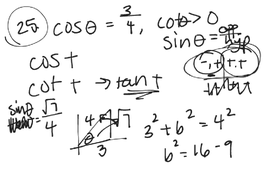
#24
#23
#22
#21
4 views
#20
11 views
#14-19
#13