11 views
10-7 Using the Descriminant
by Stanley Maticka
21 views
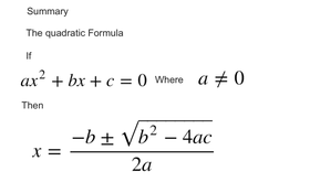
10-6 Using the Quadratic Formula
22 views
12-1 Circles in the coordinate plane
24 views
10-5 Completing the Square
0 views
10-5Completing the Square
13 views
10-4 Factoring to Solve Quadratic Equations
10-3 Solving Quadratic Equations
14 views
10-2A Quadratic Functions
15 views
11-5 Adding Vectors
11-4 Vectors and Trigonometry
10 views
10-1C Exploring Quadratic Graphs
90 views
10-1B Exploring Quadratic Graphs
11-3 Angles of Elevation and Depression
20 views
10-1A Exploring Quadratic Graphs
11-2 The Sine and Cosine Ratios
11-1 The Tangent Ratio
9-7 Factoring Special Cases
17 views
9-5D Factoring Trinomials summary
12 views
9-5C Factoring Trinomials when c < 0
9-5B Factoring Trinomials where b is negative and c is positive
16 views
9-5A Factoring Trinomials
19 views
10-6 Areas and Volumes of Similar Solids
9-4 Multiplying Special Cases
10-5 Perimeters and Areas of Similar Figures