30 views
6-6 Parallel and Perpendicular lines
by Stanley Maticka
59 views
6-5 Point-Slope Form and Writing Linear Equations
0 views
6-5 Point-Slope Form and writing linear equatioons
22 views
5-7 Circles: Circumference and Arc Length
50 views
5-6 Area of Regular Polygons
16 views
5-5 Area of Trapezoids
267 views
6-4 Standard Form
34 views
6-2 Slope intercept form
18 views
5-4 Special Right Triangles
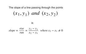
6-1A Slope
5-3 Pythagorean Theorem and its Converse
35 views
Simplifying Radicals
20 views
5-2 Areas of Parallelograms and Triangles
Geometry 5-2
13 views
5-1 Understanding Perimeter and Area
15 views
5-5 Direct Variation
19 views
29 views
5-3 & 5-4 Function rules, tables and graphs and writing functions
40 views
4-8 Concurrent Lines
5-1 v& 5-2 Graphs, Relations, and Functions
5-1 & 5-2 Graphs, Relations and Functions
11 views
4-7 Bisectors and locus
23 views
2-6 Theoretical and Experimental Probability
4-6 Triangle Inequalities