15 views
4-5 Using Indirect Reasoning
by Stanley Maticka
3 views
53 views
4-4 Midsegments of Triangles
16 views
4-6B Absolute Value Inequalities
14 views
4-3 Preparing for Proof
24 views
4-6A Absolute Value Equations
17 views
4-2 Isosceles Triangles
0 views
4-1 Using Logical Reasoning
2 views
4-5 Compound Inequalities
51 views
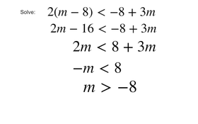
4-4 Solving Multi-step Inequalities
4-3 Solving Inequalities Using Multiplication and Division
1 view
3-7 Dilations
10 views
4-2 Solving Inequalities using addition and subtraction
49 views
4-1 Inequalities and their graphs
3-6 Tessellations
3-5 Symmetry
3-4 Compositions Of Reflections
3-2 Translations
3-3 Rotations
13 views
3-1 Reflections
Equations and Problem Solving--Part 2
Equations And Problem Solving Part 1
4 views
Isometric And Orthographic Drawings