2 views
p. 113 # 18 determining net pay
by Janice Blackburn
24 views
Test Review ch 1 part b
26 views
Test1 Review Part A
7 views
1.7 #42
30 views
1.7 # 34- 37 radicals and sides of squares
25 views
1.7 # 18 & 28
53 views
Ch 1 Quiz 3 Practice P. 56
0 views
Ch 1 Quiz 3 Practice Page 56
46 views
Ch. 1 Quiz 2 P. 41
1.7 Like 31 - 33 Word Problems P. 54
35 views
1.7 Like 20-25 Converting units
1.7 Like P. 54 31 - 33
18 views
p. 41 mixed review graphing functions
10 views
Like 1.5 #28, 30
9 views
comp/supp algebraic problems similar to 1.5 # 17 -19
3 views
Like 1.4 P. 30 33-38
6 views
angle bisection problems similar to 1.4 # 40-42
5 views
Like 1.4 # 25-26
8 views
P. 22 Lesson 1.3 Problem 53
69 views
Quiz 1practice
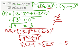
Distance Formula 1.3
39 views
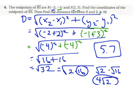
Finding The Other Endpoint 1.3