7 views
2.6 Help #18
by Janice Blackburn
38 views
Practice proofs from workbook
23 views
2.7 p. 128 17-21
49 views
ch. 2 quiz 3
13 views
Homework p. 128 22-27 I was supposed to do in class
32 views
2.7 he 38 & 42 proofs
6 views
Proof 36 2.7
31 views
2.5 Hw 28, 32
48 views
Ch 2 Quiz 2 Practice
2 views
Conditional Statements
42 views
Ch. 2 Quiz 1 practice
2.7 Proofs From Class
2.6 Problems 21, 23, 29
28 views
2.6 Proofs From Class
4 views
ch. 3 quiz 4 explanations Consumer math
8 views
ch. 3 quiz 3 consumer math
5 views
ch. 3 quiz 2 consumer math
Buying And Selling Stocks
9 views
Calculating Bonds
Calculating Taxes!
Calculating Pay And Raises
10 views
Calculating Hours On The Time sheet
0 views
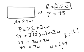
notes question about perimeter
Determining taxes and net pay after taxes