7 views
4.1 11-13 How To Do
by Janice Blackburn
22 views
4.1 (21-26)
0 views
Reconcile Your Bank Acct.
37 views
Geo. Ch. 3 Quiz 3
5 views
C.M. Ch 5 Quiz 4
4 views
C.M. Ch5 Quiz4
C.M. Ch.5 Quiz 3
8 views
C.M. Ch. 5 Quiz 2
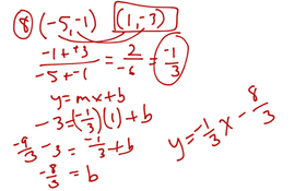
3.5 Equations Of Parallel And Perpendicular Lines
10 views
3.5 Line Equations From Points
5.7 Part 2
5.7 Notes Problem #1
29 views
ch 3 quiz 3
6 views
practice with slopes and lines
2 views
graphing lines from equations
11 views
3.6 theorems about perpendicular lines
24 views
Ch 3 Quiz 2
21 views
Ch.3 Quiz 1
Parallel, Perpendicular, Or Neither
18 views
Find Slope With Points Only
Graphs In The Real World
127 views
Graphing Lines And Writing Equations From Graphs
Proof Practice
3 views
Testing