88 views
Fraction Units And The Relationships Between Them
by Ellen Clay
70 views
Whole Numbers As Flexible Combinations Of Units
81 views
Adding Whole Numbers Symbolically
96 views
Units Of Whole Numbers
0 views
Units In Fractions
8 views
2/3 And 1/4
234 And 567
Hh
Naeemah Multiplication
36 views
Multiplication/Division with Symbols
19 views
cost of a phone card—quantities
22 views
07/27/2012 Lesson
Making Sense of... graph of 8x
9 views
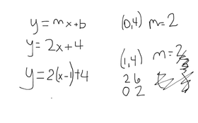
Making Sense of... Linear word problems
Making Sense of [not] ... t + u = v
Making Sense of... 3x + 4 = 5x - 2
Making Sense of... 2.3 - 7r = -25.7
17 views
Making Sense of... g + 17 = 35
12 views
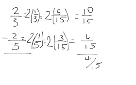
Adding Fractions with Units
49 views
Division Fractions with Visuals
93 views
Multiplication Fractions with Symbols
38 views
Subtraction Fractions with Symbols
78 views
Addition Fractions with Symbols
99 views