0 views
Consolidating Our Work With Units Across Sets
by Ellen Clay
16 views
Multiplicative Strategies 1
6 views
ExpertMeet3
9 views
Quantities And Values
3 views
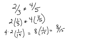
Meet 3 Fraction Multiplication
10 views
34 - 1/2x = 58
113 views
Multiplication Whole Numbers Visually
2 views
Adding Whole Numbers Visually & Symbolically
1 view
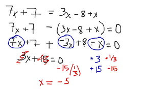
Solving 7x + 7 = 3x - 8 + x
multiplying whole number units
Kenneth C. Jones
5 views
Subtracting-larger Units First
Add 1
Relationships Between The Units Of Fractions
Test7
Measuring Area In Square Inches
Meeting The Units Of Metric Linear Measurement
Dividing Real Numbers With Visuals & Symbols
7 views
Multiplying Real Numbers With Visuals & Symbols
Subtracting Real Numbers With Symbols
18 views
Adding Real Numbers With Symbols
14 views
The Units Of Fractions
72 views
Fractions As Flexible Combinations Of Units