0 views
Math 1080 - 12.1 - Parametric Equations - Part 2
by Brad Scott
Math 1080 - 12.1 - Parametric Equations - Part 1
36 views
BC Calc - 7.4 Notes Partial Fractions
4 views
Trapezoidal Rule
32 views
BC Calc - 3.6 Notes
31 views
BC Calc - 3.5 Notes Part 2
35 views
BC Calc - 3.5 Notes
15 views
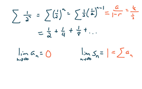
BC Calc Notes 11.11 - Part 2
49 views
BC Calc 11.2 Notes - Part 1 (cont.)
5 views
11.8-11.11 Test Review
56 views
BC Calc - Notes 11.10
37 views
BC Calc - Notes 11.10 - Part 1
61 views
BC Calc - 11.9 Notes - Part 2
58 views
BC Calc - 11.9 Notes - Part 1
80 views
BC Calc - 11.8 Notes
8 views
BC Calc - 11.6 Notes
BC Calc - 11.5 Notes
BC Calc - 11.4 Notes - Part 2
10 views
BC Calc - 11.4 Notes - Part 1
BC Calc - Notes 11.2 - Part 2
7 views
BC Calc - 11.2 Notes - Part 1
BC Calc - Notes 11.1 - Part 2
BC Calc - Notes 11.1 - Part 1
BC Calc - 10.9 Notes - Part 2