0 views
BC Calc - Notes 7.8
by Brad Scott
BC Calc 7.7 Notes
BC Calc - 7.5 Notes
1 view
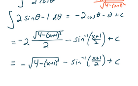
BC Calc 7.3 - Trig Sub
182 views
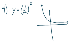
Alg Rev 9 - Exponential Equations
214 views
Alg Rev 5 - Inequalities
195 views
Alg Rev 7 - Radical Equations
209 views
Alg Rev 9 - Log Equations
218 views
Alg Rev 6 - Systems Of Equations
226 views
Alg Rev 4 - Conics
348 views
Alg Rev 3 - Graphing Linear (L2) Equations
283 views
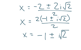
Alg Rev 2 - Solving Polynomial (Q1) Equations
371 views
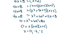
Alg Rev 1 - Factoring