102 views
2 Bach - Tema 6 - Continuidad De Funciones
by Alberto Ferrer Pérez
22 views
2 Bach - Tema 6 - Indeterminación Inf-Inf
19 views
2 Bach - Tema 6 - Indeterminación Inf/inf
20 views
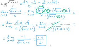
2 Bach - Tema 6 - Indeterminación 0/0
29 views
2 Bach - Tema 6 - Indeterminación K/0
48 views
2 Bach - Tema 5 - Problema De Transporte
222 views
2 Eso - Tema 5 - Porcentajes
37 views
2 Bach - Mat CCSS - Tema 5 - Representar Rectas Implícitas
39 views
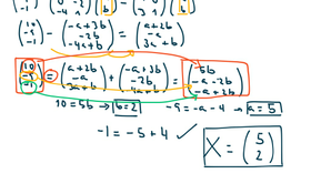
Mat 2 Bach - Tema 2 - Ejercicio 9 Boletín Ecuaciones Matriciales
105 views
2 Eso - Tema 8 - Problemas De Sombras
89 views
2 Eso - Tema 8 - Media Proporcional
63 views
4 Eso - Tema 7 - Conservación De La Energía Mecánica
55 views
2 Eso - Tema 7 - Álgebra Y Geometría
73 views
2 Eso - Tema 7 - Hexágono Inscrito En Una Circunferencia
2 Eso - Tema 6 - Características De Las Funciones
80 views
2 Eso - Tema 6 - Ecuación De La Recta
70 views
2 Bach - Tema 10 - Teorema Probabilidad Total y Bayes
49 views
2 Bach - Tema 8 - Representación De Funciones (junio 2013)
67 views
2 Eso - Tema 7 (repaso general)
2 Bach - Tema 9 - Integrales Indefinidas (ejercicio 16)
45 views
2 Bach - Tema 7 - Extremos Absolutos Función A Trozos
85 views
2 Eso - Tema 5 - Problemas De Ecuaciones Con Una Incógnita
2 Bach - Tema 7 - Derivabilidad De Una Función A Trozos
54 views
2 Eso - Tema 5 - Ecuación De 2do Grado