71 views
2 Eso - Tema 5 - Ejercicio FT 22 (ecuaciones 2 Grado Incompletas)
by Alberto Ferrer Pérez
36 views
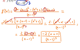
2 Bach - Tema 7 - Derivada Funciones Racionales
30 views
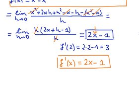
2 Bach - Tema 7 - Derivada a partir de la definición
46 views
2 Bach - Tema 7 - Qué es la derivada
89 views
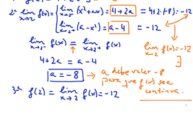
2 Bach - Tema 6 - Continuidad
109 views
4 Eso - Caída Libre Y Tiro Vertical
72 views
2 Eso - Ecuaciones De 1er Grado Con Fracciones
26 views
4 - Eso - Ejercicio 8 MRU
2 Eso - Tema 4 - Factor Común
143 views
2 Eso - Tema 4 - Identidades Notables
151 views
2 Eso - Tema 4 - División De Polinomios
50 views
2 Eso - Tema 4 - Ejercicio 36 Multiplicación De Polinomios
63 views
2 Eso - Tema 4 - Ejercicio 32 Multiplicación De Polinomios
19 views
4 Eso - Tema 3 - Alquenos Y Alquinos 2.2 (2)
33 views
4 Eso - Tema 3 - Alquenos Y Alquinos 2.2 (1)
4 Eso - Tema 3 - Alquenos 2.1
177 views
2 Eso - Repartos Directamente Proporcionales
239 views
2 Eso - Repartos Inversamente Proporcionales
4 ESO - Tema 2 - Disoluciones 3
56 views
4 ESO - Tema 2 - Disoluciones 2
4 ESO - Tema 2 - Disoluciones
81 views
4 Eso Tema 2 Ejercicio De Clase 2
114 views
4 ESO - Tema 2 - Ejercicio de clase (limitante)
48 views
2º Bach - Tema 2 - Determinante De Orden 4