3 views
Add/Subtract Polynomials (EA)
by Natalie Boyd
23 views
3.2a "The Derivative as a Function"
8.3 Law Of Cosines
2 views
3.1a Definition Of The Derivative
0 views
Law Of Cosines (2nd)
1 view
Coordinate Geometry Packet Answers (5th)
8.2 Solving SSA Triangles With Law Of Sines (2nd)
8.2c Law Of Sines-SSA (4th)
8.2c Law Of Sines: SSA (2nd Period)
CG Formulas
CG Formulas (5th)
8.2b "Law Of Sines:SSA" (4th)
8.2b "Law Of Sines: SSA" (2nd)
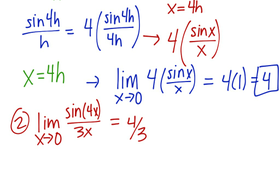
2.6b "Trig Limits"
8.2a "Law Of Sines" (part 1)
2.6 "Trig Limits"
2.5 "Evaluating Limits Algebraically"
6.1 "Linear Velocity" (4th)
6.1 "Linear Velocity" (2nd)
2.4b "Limits And Continuity"
Exponent Quiz Warm Up
6.1 "Angular Velocity"
2.4 Limits And Continuity
(IA) Exponents And Logarithms (6th)