4 views
5.2 The Definite Integral (part 2)
by Natalie Boyd
5 views
5.2 Definite Integral Intro
3 views
7.5 Half Angle Identities (part 1)
2 views
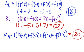
5.1b Approximating And Computing Area (part 2)
7.5 Double Angle Identities
5.1a "Approximating And Computing Area"
Ch. 4 Test Review Warm-Up
7.4 "Sum And Difference Identities" (triangle Problems)
4.7 Optimization Part 2
0 views
7.4c Sum And Diff Identities (part 3--2nd)
Special Right Triangles-ACT
7.4b "Sum And Difference Identities" (4th)
7.4b "Sum And Difference Identities" (2nd)
6 views
4.7 Optimization Part 1
Geometry Packet Part 2
7.4 "Sum And Difference Identities" (4th)
7.4a Sum And Difference Identities (2nd)
Area, Perimeter, And Donut Problems (packet)
4.6 "Sketching Graphs" Part 2
Verifying Trig Worksheet (odds--4th Period)
Verifying Trig Worksheet (odds--practice)
7 views
4.5 "L'Hopitals Rule"
(IA) Logarithms (6th)
7.3d "Verifying Trig Identities"