5 views
7.5a
by Seth Homolka
4 views
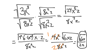
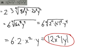
radical over radical
6.4
3 views
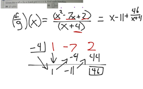
7.3b
7.3a
2 views
7.2b Horizontal Line Test
7.2b
7.2a
6 views
7.1b
7.1a
1 view
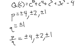
6.8-finding Possible Zeros
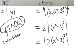
Special Case U Sub
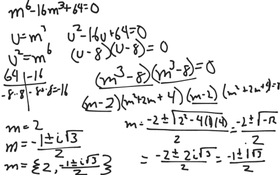
U Sub
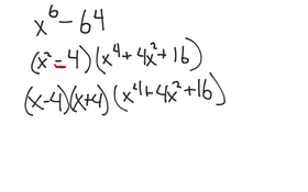
Factoring Large Degrees
Multiplying Polynomials
Quadratic