91 views
3.2
by Seth Homolka
98 views
3.1
99 views
2.2
139 views
2.1
40 views
1.6b
104 views
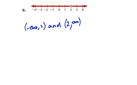
1.6a interval notation
100 views
1.5 ineqalities
3 views
1.4absolute values
1.3 solving and writing equations
7 views
1.2 properties of numbers
168 views
1.1 expressions and formulas
9.3
2 views
9.2b
4 views
7.2a
5 views
9.1a
9 views
8.7-8.8
1 view
8.5b
8.5a
8.4
8.2b
8.2a
8.1
7.6
7.5b