19 views
3.5 Finding Real Roots of Polynomials
by Alison Reichert
20 views
3.4 Factoring Polynomials
3.3 Dividing Polynomials
18 views
3.2 Multiplying Polynomials
55 views
3.5 Write and Graph Equations of Lines
15 views
2.9 Operations with Complex Numbers
12 views
2.2 Properties of Quadratic Functions
9 views
5.2 Solving Rational Equations
32 views
5.2 Multiplying and Dividing Rational Expressions
8 views
Finding Function Values #32
3 views
Write The Equation Of The Given Graph
Finding The Domain Of A Function
493 views
Piecewise Functions And Shipping Costs
2 views
Piecewise Function
5 views
W/S P.7 #11
13 views
Find Function Values
11 views
Identifying Functions
31 views
Subsets Of Real Numbers
25 views
Set Builder Notation
223 views
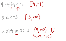
Interval Notation 1.1
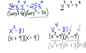
Sum Of Two Squares
Other Examples Of Factoring The Difference Of Two Squares
Factoring The Difference Of Two Squares
2468 views
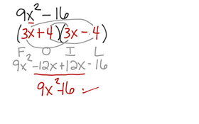
Factoring a Trinomial - Garbage Method