49 views
4.6
by Alison Reichert
78 views
4.4 Prove Triangles Congruent by SSS
69 views
4.2 Apply Congruence and Triangles
60 views
4.1 Apply Triangle Sum Properties
64 views
3.4 Find and Use Slopes Of Lines
0 views
Chapter 1 Review #22
1 view
12 Summer
Number30 Dylan And Kered
3 views
#6 Cameron And Sierra
2 views
Chapter 1 Review #28 Jesse And Nestor
Number 5 - Harmoni And Anna
Chapter 1review #11
22 views
1.6 Classify Polygons
41 views
1.5 Describe Angle Pair Relationships
6 views
1.4 Measure and Classify Angles
9 views
1.3 Use Midpoint and Distance Formulas
13 views
1.2 Use Segments and Congruence
11 views
1.1 Part 2
1.1 Points Lines and Planes (part 1)
7 views
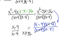
5.3 Subtracting Rational Expressions
5 views
4.5 Exponential and Logarithmic Equations
31 views
4.2 Inverses of Relations and Functions
16 views
3.6 The Fundamental Theorem of Algebra