0 views
linear combination of vectors to get another.
by j ra
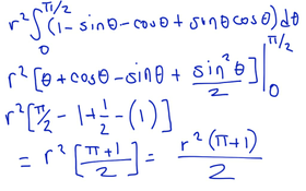
jacobian polar transf.
6 views
double integral. transormation of coordinates
ll
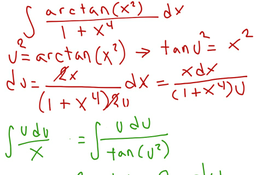
integral arctan
integral. arctan
2 views
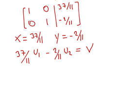
system of equations. gauss Jordan, reduced echelon.
5 views
integral of cotx+cscx
matrices.
8 views
lineal independence. polynomials.
parametric function, area under curve
limite infinito