0 views
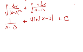
integral. partial fractions decomposition
by j ra
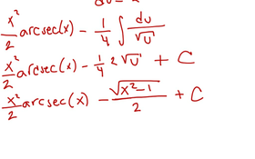
integral. xarcsec(x)
2 views
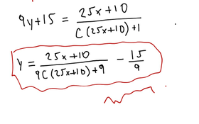
inconsisten system. wrong assumption of particular solution for a diff. eq.
deo
1 view
tangent plane to a surface.
6 views
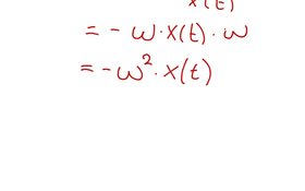
physics. acceleration. other method
proof.
3 views
acceleratipn. second order differential equation.
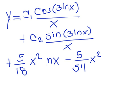
cauchy euler differential equation
basis. matrix
differential equation. homogeneous.
transformation. jacobian
5 views
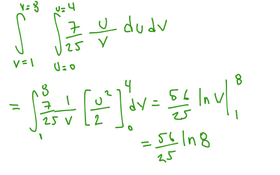
area.integrals
cambiar limites de integracion.
fff
jjj
tranformacion coordenadas. rotacion. elipse.
cauchy euler. differential equation.
differential equations. exact.
29 views
differential equation. integrating factor to turn into exact.
integral
differential equation. reducing order.
ode