1 view
GEN PHYSICS 2 // Density, Pressure, Buoyancy, Heat - part 1 - S. Price
by Justin Niere
3 views
GEN CHEM 2 // CH14 Equilibrium (ICE Tables) - part 2 - Group Session
2 views
GEN CHEM 2 // CH14 Equilibrium (ICE Tables) - part 1 - Group Session
7 views
GEN CHEM 2 // CH14 Equilibrium - part 2 - P. Pritchard
GEN CHEM 2 // CH14 Equilibrium - part 1 - P. Pritchard
GEN CHEM 2 // CH14 Equilibrium - part 1 - group review
CHEM151 - Naming Compounds & Ionic Compounds (Part 2)
CHEM151 - Naming Compounds & Ionic Compounds (Part 1)
0 views
Survey Physics // MOD 1 Review (Part 8) - K. Bone & C. Emberson - Jan 28, 2014
4 views
Survey Physics // MOD 1 Review (Part 7) - K. Bone & C. Emberson - Jan 28, 2014
Survey Physics // MOD 1 Review (Part 6) - C. Emberson - Jan 27, 2014
Survey Physics // MOD 1 Review (Part 5) - C. Emberson - Jan 27, 2014
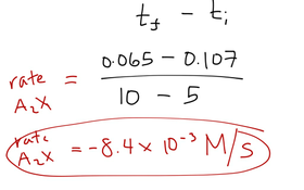
GEN CHEM 2 // CH13 Kinetics - part 2 - group review
GEN CHEM 2 // CH13 Kinetics - part 1 - group review
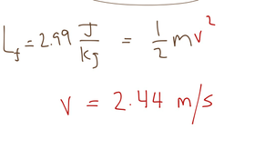
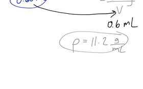
GEN PHYS 2 // Phase Diagrams, Thermal Energy, Modulus (part 2) - T. Golec & L. Marquez
GEN PHYS 2 // Phase Diagrams, Thermal Energy, Modulus (part 1) - T. Golec & L. Marquez
GEN CHEM 2 // CH13 Kinetics - T. Golec & L. Marquez
14 views
Survey Physics // MOD 1 Review (Part 4) - C. Emberson - Jan 23, 2014
Survey Physics // MOD 1 Review (Part 3) - C. Emberson - Jan 23, 2014
11 views
GEN CHEM 2 // CH13 Kinetics - Graded WS (Part 2) - J. Matthews & E. Valentin
10 views
GEN CHEM 2 // CH13 Kinetics - Graded WS (Part 1) - J. Matthews & E. Valentin
GEN CHEM 2 // CH13 Kinetics - Graded WS (Part 4) - Group Session
13 views
GEN CHEM 2 // CH13 Kinetics - Graded WS (Part 3) - Group Session
GEN CHEM 2 // CH13 Kinetics - Graded WS (Part 2) - Group Session