0 views
CHEM112 // Chirality - J. Grant - Mar 11, 2014
by Justin Niere
CHEM112 // Ketals, Acetals - J. Grant - Mar 11, 2014
3 views
CHEM112 - Aldehydes & Ketones (Part 2)
1 view
CHEM112 - Aldehydes & Ketones (Part 1)
2 views
GEN CHEM 2 // Titration of a Strong Acid & Base - Part 2
4 views
GEN CHEM 2 // Titration of a Strong Acid & Base - Part 1
CHEM112 // CH13 Ethers, Thiols, Alcohols - Group Session (Part 2) - Feb 18, 2014
CHEM112 // CH13 Ethers, Thiols, Alcohols - Group Session (Part 1) - Feb 18, 2014
CHEM112 // CH13 Ethers, Thiols, Alcohols - J. Grant - Feb 18, 2014
5 views
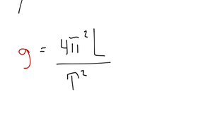
Survey Physics // Pendulum Problems - D. Etienne, K. Bone - Feb 18, 2014
CHEM112 // Solubility in Water and Alkanes - J. Grant - Feb 13, 2014
CHEM112 // Boiling Points - J. Grant - Feb 13, 2014
11 views
GEN CHEM 2 // CH13 Kinetics - Skype Session - D. Komo
Survey Physics // Gas Laws - C. Emberson, K. Bone - Feb 11, 2014
6 views
Survey Physics // Temp Conversions - C. Emberson, K. Bone - Feb 11, 2014
GEN CHEM 2 // CH13 Kinetics - part 2 - Group Session - 2/10/14
GEN CHEM 2 // CH13 Kinetics - part 1 - Group Session - 2/10/14
02
CHEM151 - Periodic Trends
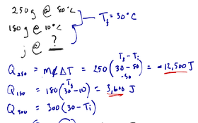
Survey Physics // Hooke's Law, Thermal Expansion, Heat (Part 2) - C. Emberson - Feb 6, 2014
Survey Physics // Hooke's Law, Thermal Expansion, Heat (Part 1) - C. Emberson - Feb 6, 2014
CHEM151 - Periodic Trends (Part 2)
CHEM151 - Periodic Trends (Part 1)
GEN PHYSICS 2 // Density, Pressure, Buoyancy, Heat - part 2 - S. Price