4 views
Ottawa Calc 2 Page 385:56
by Aaron Zsilavec
5 views
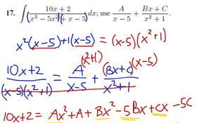
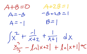
Ottawa Calc 2 Page 384: 17
0 views
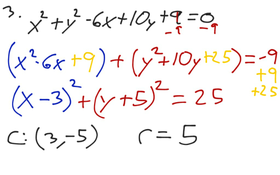
VHS Calc 1 P167:17&19
1 view
Ottawa Calc 2 Page 384: 19
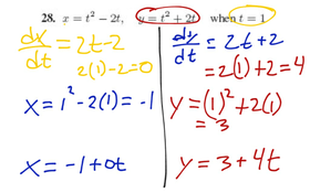
Calculus Parametric Equations Tangent Lines
6 views
Calculus Diagnostic A And B
College Algebra Placement Review III (1,3,5)
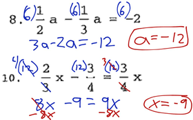
College Algebra Placement Review I (1-10)
2 views
Calculus Diagnostic A
College Algebra Placement Review 2
College Algebra Placement Review Factoring