1 view
7.8 Improper Integrals Type 1
by Aaron Zsilavec
6 views
13.3 Curvature, Normal And Binomial Vectors
0 views
2.6 Notes Part 2
5 views
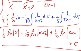
7.4: Partial Fractions Continued
7 views
13.3: Arc Length
3 views
7.4 Partial Fractions Part 2
7.4: Partial Fractions
13.2: Derivatives And Integrals Of Vector Functions
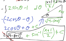
Last Day Of Trig Substitution
13.1: Vector Functions And Space Curves
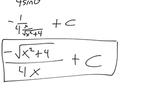
7.3 More Trig Substitution
7.3 Continued
2 views
2.5 Solving Absolute Value, Rational And Fractional Exponents
13 views
7.3 Trigonometric Substitution
2.5 Solving Equations With Radicals
12.6 Cylinders And Quadric Surfaces
7.2 Trig Integrals More Examples
2.5: Other Types Of Equations
8 views
7.2 Problem 14 Two Ways.
4 views
12.5: Equations Of Lines And Planes
7.2 Trigonometric Integrals Part 2
2.4 Solving Quadratic Equations
12.4 The Cross Product
9 views
7.2 Trigonometric Integrals