236 views
Alg 1 Summary of Lesson 11.1
by Linda Heath
0 views
Alg 1 Notes Lesson 9.2 Solving Quadratic Equations Using Square Roots
706 views
817 views
Alg 1 Notes Lessons 8.3 And 8.4 Graphing y=ax^2+c And y=ax^2+by+c
693 views
Alg 1 - Notes - Lesson 8.1 - Graphing y=ax^2
388 views
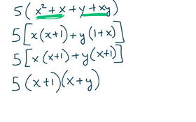
Alg 1 Notes Lesson 7.9 Extension Factoring By Grouping
263 views
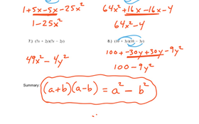
Alg 1 Notes Lesson 7.4 Special Products Of Binomials
50 views
Pre-Alg Trimester 1 Exam Review Part 2
237 views
Alg 1 Tri 1 Exam Rev - Units 1 - 3
377 views
Alg 1 - Notes - Lesson 4.5 - Solving Systems of Linear Inequalities
378 views
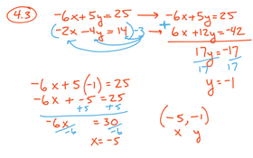
Alg 1 Notes Lesson 4.4 Solving Special Systems of Linear Equations
138 views
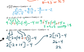
Pre-Alg Notes Lesson 4.3 Evaluating Variable Expressions
423 views
Alg 1 Notes Lesson 3.5 Graphing Linear Inequalities In 2 Variables
540 views
Pre-Alg Notes Lesson 3.7 Dividing Fractions
396 views
Alg 1 Notes Lesson 3.4 Extension Part D Solving Absolute Value Inequalities
Pre-Alg Notes Lesson 3.5 Adding and Subtracting Fractions
456 views
Alg I Notes - Lessons 3.1 - 3.4 - Writing, Graphing, and Solving Linear Inequalities
143 views
Pre-Alg - Notes - Lesson 3.2 - Greatest Common Factor and Least Common Multiple
155 views
Pre-Alg Notes Lesson 3.1 Primes, Composites, and Factors
490 views
Alg 1 - Notes - Lesson 2.1 - Graphing Linear Equations Using Tables
153 views
Pre-Alg - Notes - Lesson 2.1 - Integers and Opposites
327 views
Alg 1 - Notes - Lesson 1.4 - Rewriting Equations And Formulas
5 views
Alg 1 - Notes - Lesson 1.3 Extension - Solving Absolute Value Equations
Subtracting Integers