138 views
Absolute Value
by Linda Heath
12 views
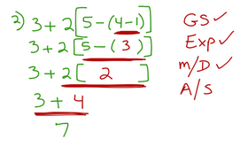
Order Of Operations
22 views
Multiplying And Dividing Decimals