1096 views
Simplified Radical Form
by Donna Johnston
939 views
3.3 Using The Pythagorean Theorem
1038 views
3.2 Pythagorean Theorem
1116 views
3.1 Exploring Square Roots And Irrational Numbers
646 views
12.5 Exponents And Division
649 views
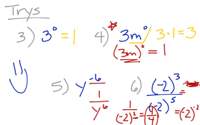
12.3 Exponents And Multiplication
656 views
2.8 Scientific Notation
680 views
2.7 Powers And Exponents
266 views
2.6 Formulas
803 views
2.5 Multiplying And Dividing Rational Numbers
756 views
2.4 Adding And Subtracting Rational Numbers
200 views
2.3 Comparing And Ordering Rational Numbers
754 views
2.2 Equivalent Forms Of Rational Numbers
176 views
2.1 Factors
554 views
Solve Algebraic Absolute Value Equations
1007 views
Solving Algebraic Equations
700 views
1.6/1.7 1step Equations
1115 views
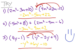
12.1/12.2 Polynomials
964 views
Expressions
1210 views
1.5 Properties Of Numbers
186 views
1.4 Multiplying And Dividing Integers
191 views
1.3 Adding And Subtracting Integers
1191 views
1.2 Integers And Absolute Value