6 views
AP1 - Unit7 HW2 #9
by Ben Smith
19 views
APC - Current Density
12 views
APC - Capacitance
36 views
APC - Electric Potential
15 views
APC - Gauss Law For Sheet and Linear To Surface Charge Density
42 views
APC - Gauss Law - Line And Cubes
44 views
APC - Gauss Law For Spheres
31 views
APC - Flux Inside A Cylinder
28 views
APC - Line Of Charge
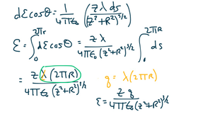
APC - Semi Circle Of Charge
APC - Ring Of Charge
38 views
Lecture - Rotational To Linear
49 views
Center Of Mass Lab Directions
69 views
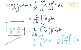
Center Of Mass Lecture
5 views
SHM HW Help #6
APC - Gravitation HW Help
27 views
APC - Oscillations
51 views
APC - Gravitation Notes
APC - Rotational Motion3
46 views
APC - Rotational Motion2
APC - Rotational Motion
13 views
APC - Rocket Problem - Varying Mass
APC - Center Of Mass
APC - Momentum Problems