91 views
OREKA-GAKO BEREZIA-1Ariketa
by Mercedes Etxeberria
36 views
ISOMERIA-1 Ariketa
116 views
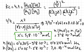
LE CHATELIER-Berezia-inerte-3 Ariketa
51 views
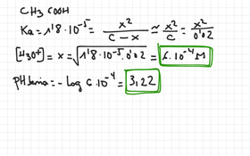
pH-SENDO-AHULA-1 Ariketa
25 views
DILUZIOAK-1 Ariketa
28 views
HIDROLISIA 1-Ariketa- MaE-11-E2
15 views
Redox-Estekiometria 3-Ariketa
22 views
Redox-Estekiometria-2 Ariketa
17 views
Redox-Estekiometria-1 Ariketa
70 views
Estekiometria-1 Ariketa
97 views
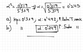
ALFADUNAK-2-Ariketa
214 views
ALFADUNAK-1 Ariketa
119 views
Termoquímica-1B-1 Ariketa
279 views
Termokimika- 1A Ariketa-1. 12EAP1
131 views
Berezkotasuna-kualitatiboa-2 Ariketa
198 views
Berezkotasuna-Kuantitatiboa-1 Ariketa
193 views
ENTROPIA-1
170 views
T-2 Ariketa
308 views
T-1 Ariketa
40 views
LOTURAK-3-ariketa
106 views
Molekula Arteko Indarrak-2
133 views
Molekula Arteko Loturak- Sarrera
64 views
LOTURAK-2 Ariketa
90 views
Loturak Ariketa-1