95 views
Vector Components
by Neil Guard
87 views
Using Trig With 2D Vectors, Examples
173 views
Trigonometry Used With 2D Vectors
184 views
Intro To 2D Motion and Forces
160 views
Newton's 3rd Law
166 views
Newton's 2nd Law
191 views
Newton's First Law of Motion
Accelerations - a Summary
172 views
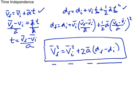
Time Independent Relationship
189 views
Acceleration and Velocity vs. Time Graphs
202 views
Introduction to Acceleration
186 views
Mathematical Velocity and Displacement
206 views
Distance Vs. Displacement
209 views
Representing Motion
207 views
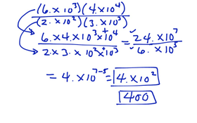
Using Scientific Notation
225 views
Scalars And Vectors
310 views
Introduction To Physics
9 views
Facebook Video Test