0 views
Factor, Four Terms
by Patti Edwards
1 view
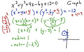
Example 6.1.4
Example 6.1.1
37 views
33 views
Factoring, Three Terms AC
Factor, Three Terms ()
41 views
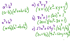
Factor, Two Terms, Cubed
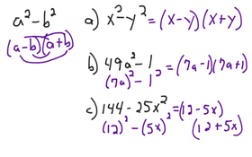
Factor, Two Terms Squared
54 views
Factoring, Common Factor
69 views
Problems 1.3 (34,36)
74 views
Problems 1.3 (28,30,32)
88 views
Problems 1.3 (22,24,26)
110 views
Example 1.5.5
165 views
Example 1.5.4
105 views
Example 1.5.3
111 views
Example 1.5.2
140 views
Example 1.5.1
243 views
Example 1.4.12
346 views
Example 1.4.11
342 views
Example 1.4.10
361 views
Example 1.4.9
362 views
Example 1.4.8
368 views
Example 1.4.7
444 views
Example 1.4.6