1 view
Calc Ch3 Review #47
by Mark Mikasa
2 views
Calc Ch3 Review #41
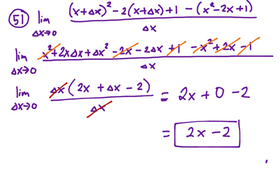
Calc Ch3 Review #51
Calc Ch3 Review #53
0 views
Calc 3.5 #33
Calc 3.5 #29
Calc 3.5 #23
Calc 3.5 #37
46 views
Calc 3.4 #37
58 views
Calc 3.4 #73
66 views
Calc 3.4 #11
35 views
Calc 3.4 Lesson Slides
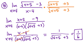
Calc 3.3 #45
Calc 3.3 #51
20 views
Calc Ch2 Review #17
24 views
Calc Ch2 Review #3
Calc Ch2 Review #11
27 views
Calc Ch2 Review #19
Calc Ch2 Review #91
25 views
Calc Ch2 Review #15
10 views
Calc 2.6 Slides
Calc 2.5 #79
16 views
Calc 2.5 #69
Calc 2.5 #51 Featuring Ronald!