32 views
PRE 1.1 - Solving One-Step Equations
by Lori Worley
72 views
1.1 - Solving Two-Step Equations
37 views
6.2 - Is It A Right Triangle?
68 views
6.3 - Pythagorean Theorem - Finding ANY Missing Side
89 views
Pythagorean Theorem - Finding Side C
141 views
5.2 - Converting Fractions & Decimals
214 views
Integer Rules
106 views
Order Of Operations
5 views
14.2 - Number Properties
108 views
14.1 - Number Families
6 views
12.1 - What Is A Polynomial?
25 views
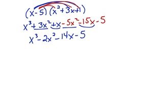
12.2 - Multiplying Polynomials
15 views
3.2 - Forms Of An Equation
7.2 - Graphing Systems Of Inequalities
20 views
7.1 - Graphing Inequalities On The Coordinate System
6.2 - Using Linear Combinations To Solve Systems Of Eq's
11 views
6.1 - Using Graphing & Substitution To Solve A System Of Eq's
13 views
3.3 - Slope-intercept Form, Standard Form, & Literal Eq's
24 views
2.5 - Solving Absolute Value Inequalities
30 views
2.5 Solving Absolute Value Equations
Alg 2.4 Solving & Graphing Inequalities
Alg. 2.3 - Solving Inequalities