46 views
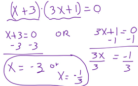
Section 9.4 Solve Polynomial Equations In Factored Form
by Mary Harkins
53 views
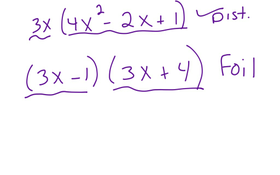
Section 9.6. Factoring ax2 + bx + c
18 views
Section 4.3. Graph Using Intercepts
20 views
Section 4.2. Graph Linear Equations
14 views
Section 4.1 Plot Points In A Coordinate Plane
28 views
Section 9.3 Find Special Products Of Polynomials
23 views
Section 9.2 Multiplying Polynomials
30 views
Section 9.5 Factoring X Squared + Bx + C
39 views
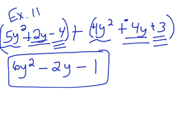
Section 9.1 Add And Subtract Polynomials
11 views
Lesson #35. Dividing Decimals
5 views
Lesson #34. Multiplying Decimals
31 views
Section 3.8 Rewriting Equations, Literal Equations, Formulas
27 views
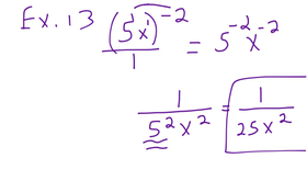
Section 8.3. Define And Use Zero And Negative Exponents
Section 5.4. Linear Equations In Standard Form
16 views
Section 3.5. Ratios And Proportion
0 views
Lesson #19. Subtracting Unlike Fractions
Lesson #18 Subtracting Like Fractions
Lesson #16 Add Unlike Fractions
Section 3.1. Solve One Step Equation
Section 7.6 Solve Systems Of Inequalities
Lesson #15 Adding Fractions With Unlike Denominators
32 views
Section 7.5 Solve Special Types Of Linear Systems
41 views
Section 2.7. Square Roots And Real Numbers
26 views
Section 8.2 Exponent Properties Involving Quotients