1 view
5.4 5094a) 5095
by Pär Bergström
2 views
5.4 5079a 5085b 5089b
0 views
5.3 5072 5073
3 views
5.3 5060 5066
5 views
5.3 5055 5057
5.2 5048b) 5051
5.2 5040a 5045b
5.2 5034b 5036
11 views
Förkortning Och Förlängning
19 views
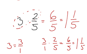
Multiplikation Av Bråk
Räkneprocesser Med 10, 100 Och 1000
20 views
Omkrets Och Area
21 views
Ränta Och Räntesats
16 views
Nytt Pris
23 views
Skillnad i %
82 views
Andelen i procent
Pythagoras Sats