25 views
Algebra 2-6 Ratios, Rates, And Conversions
by Lydia Swanson
26 views
Algebra 2-5 Literal Equations And Formulas
220 views
Algebra 2-4 Variables On Both Sides
210 views
Algebra 2-3 Multi-step Equations
310 views
Algebra 2-2 Two Step Equations
Algebra 2-1 One Step Equations
19 views
6th 2-7 Rational Numbers
117 views
6th 2-6 Fractions And Decimals
Geometry 2-4 Properties Of Equality
Geometry 2-2 Biconditionals
33 views
Geometry 2-1 Conditional Statements
144 views
6th 2-4 Comparing And Ordering Fractions
336 views
6th 2-2 Prime Factorization
231 views
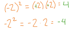
6th Lesson 2-1 Exponents And Order Of Operations
209 views
Algebra 1-7
34 views
Algebra 1-2
21 views
Algebra 1-1
16 views
7th 1-7
7th Grade Lesson 1-6
82 views
7th Grade 1-2
228 views
7th Grade 1-1
6th Grade 1-6
91 views
6th Grade 1-3
84 views
6th Grade 1-2