4 views
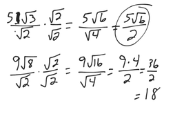
Simplifying Radicals In The Denominator
by Joe Oakes
3 views
Simplifying Radicals In Pythagorean Theorem
10 views
Section 8-1.5
0 views
Problems 31-40
1 view
Academic Bowl 41-50
Academic Bowl 1-10
Academic Bowl 11-20
Academic Bowl 21-30
12 views
Section 7-1
15 views
Chapter 6 Review
17 views
Coordinate Geometry Trapezoids And Kites
Section 6-6
Section 6-4 Coordinate Proofs
9 views
Section 6-4
More On Coordinate Geometry & Parallelograms
8 views
More On Section 6-2
Section 6-2
Section 6-1
Semester 1 Review Part 3
2 views
Semester 1 Review Part 2
Semester Review Page 1
Chapter 5 Review
14 views
Section 5.2-5.4 WS #2