137 views
Basketball Motion
by Kent Eaton
0 views
3equations 3 Unknowns
1 view
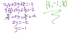
System Of 3equations 3 Unknowns
Write The System Of Equations
2 views
Graph The System Of Inequalities
Alg2 Cht3 Rev #23
8 views
Pc Bearings
PC Sin(x)
PC Cos(x)
Stats 2 Rev1
39 views
PC Review 2.1-2.5 # 19
46 views
PC Review 2.1-2.5 # 20
32 views
PC Review 2.1-2.5 # 18
34 views
PC Review 2.1-2.5 # 17
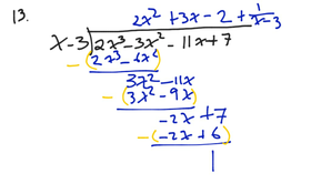
Pc Rev 2.1-2.5 # 13
40 views
PC Review 2.1-2.5 # 9
70 views
Pc Rev 2.1-2.5 #8
53 views
PCM Rev 2.1-2.5# 21
19 views
Max Area Pg 286 #70
49 views
Pc2.2#31parabolas
17 views
Pc2.2#60
21 views
PC Review #2
59 views
Pc Ch 8 Review # 5
63 views
Pc Ch 8 Rev #7