0 views
Hw #33 problem 47 hint
by Renee Gonder
3 views
Related Rates HW #30
Limits Lab Vid #1
2 views
Limits Lab Vid 2
Limits Lab Vid 3
7 views
Related Rates
5 views
Linear Approximation
9.2 Arclength and Surface Area (Parametrics)
1 view
5.1 Notes #4 2/28/14
5.1 Notes wkst #2 and 3
5.1 HW #11 2/28/14
5.1 HW #8 2/28/14
4.6 The Fundamental Theorem Of Calculus
Section 4.5 Day 2 (2/7/14)
9 views
Section 4.4 Notes Day 2
3.8 Economics
3.3 Reading f ' graph solution (purple wksht)
3.3 problem 35 and 46 on page 278
2.5 The Chain Rule Part 2
2.5 The Chain Rule Part 1
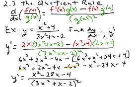
2.3 The Quotient Rule
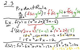
2.3 Product Rule
6 views
Differentiability Part 2 VTL Cusp
2.2 Differentiability & Continuity