94 views
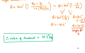
LCHL 5th Yr Angle Between Two Lines
by L Martin
79 views
5th HL CoOrd Geometry Helpful Rules To Remember
90 views
5th HL CoOrd Geometry Eqn Revision
0 views
Angles Questions homework Solutions
19 views
Functions Qs Solutions
85 views
2nd year Parallel Lines And Angles
50 views
3rd - stem Leaf Thinking Question
5th HL Algebra 2 Unknown values
4 views
LCOL EC Mock 2024 P2 Q10
3 views
LCOL EC Mock 2024 P2 Q9
6 views
LCOL EC Mock 2024 P2 Q8
2 views
LCOL EC Mock 2024 P2 Q7
LCOL EC Mock 2024 P2 Q6
LCOL EC Mock 2024 P2 Q5
10 views
LCOL EC Mock 2024 P2 Q4
8 views
LCOL EC Mock 2024 P2 Q2
7 views
LCOL EC Mock 2024 P2 Q1
47 views
6th OL Stats 2 Hypothesis Testing
39 views
6OL Solving Algebraic Fractions
21 views
Simplifying Algebraic Fractions Homework Sols
28 views
2nd CoOrd Geometry - Perpendicular Geometry
25 views
2nd CoOrd Geometry - ax+by+c=0
22 views
2nd CoOrd Geometry - Drawing Line
18 views
5HL - Indices In Context Test Sols